In this article, we will discuss the calibration of weight using the ABBA method. It is the most common misconception that the master for calibration of weight is Weighing Balance. But Master used for Calibration of weight is another standard Weight. The reason behind using another standard weight as master along with weighing balance is to nullify the effect of error of Weighing Balance.
The ABBA method produces more efficient results of a particular uncertainty in comparison to the ABA method. The following is the order of weight applied to the balance pan in the ABBBA method.
A1 B1 B2 A2
Where,
A is Standard Weight
B is UUC weight (UUC is Unit Under Calibration)
Select an appropriate standard weight for calibration of UUC Weights. The standard weight must be one class higher than the weight under calibration. For F2 class calibration of weights, F1 class weight is required as a standard weight
Calibration of Weight using the ABBA Method
Follow the procedure given below for calibration of weight by the ABBA method.
- First, warm up the weighing scale for 1 minute.
- Keep the standard weight on the weighing balance and wait till the indicated value gets stable. Note down the reading. Let this reading be A1.
- Remove the standard weight from the pan
- Now, keep the UUC(unit under calibration) weight on weighing Balance, and wait until the reading becomes stable. Note down the reading. Let this reading be B1.
- Remove UUC weight from the weighing balance.
- Again, Keep UUC Weight on weighing Balance and wait for the same amount of time as step no.2, and then note down the reading. Let this reading be B2.
- Remove the UUC weight from the weighing scale.
- Now, keep standard weight on weighing balance and note down the reading. Let this reading be A2
- This is the one complete set of weighing cycles.
- Repeat step no. 1 to step no. 8 without zero setting, until the result of the desired weighing cycle is obtained. ( It may take 3 to 4 weighing cycles)
ABA Method and AB1…..BnA is a similar Method.
ABBA Standard ______ UUC _________ UUC ___________ Standard
ABA Standard __________ UUC _________ Standard
AB1…..BnA Standard ________ UUC __________ UUC__________ UUC (n times) _____ Standard
The minimum weighing cycle as per OIMR R-111-1(INTERNATIONAL ORGANIZATION. OF LEGAL METROLOGY) is given below.

From the above table, it is clear that the E1 class weight needs 3 cycles of weighing, whereas the F1 class weight only needs one ABBA weighing. The E2 class weight needs two ABBA weighing cycles.
Equation for Determination of Conventional Mass

Where,
mct = Conventional mass of test weight
mcr = Conventional mass of reference weight
Δmw = difference in weight by the ABBA method
C = Buoyancy correction factor
For the same material weight with the same density, the Buoyancy correction factor is Zero.
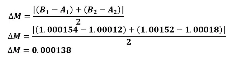
ΔM is calculated as follows for ABBA Method
Let’s consider ABBA as A1B1B2A2

Δm = difference in weight by the ABBA method
A1 = first reading of reference weight
B1 = first reading of test weight
B2 = second reading of test weight
A2 = second reading of reference weight
Conventional mass of F2 class 1 g weight
The standard weight of E2 class is 1 g weight.
The conventional mass of standard weight 1 g is 1.000018 g.
Weights are measured using Class I Weighing Balance of resolution of 0.000001 g.
For F2 class weight, one cycle of ABBA is needed.
| A1 | B1 | B2 | A2 |
| 1.000012 | 1.000154 | 1.000152 | 1.000018 |
The difference in weight(Δm) by the ABBA method

The conventional mass of test weight(mct) is;

The conventional mass of UUC 1 g weight is 1.000156 g. The mass value of weight is within the maximum permissible error in ‘F1 Accuracy Class.